COMPLEJOS

 

FORMA POLAR DE UN NÚMERO COMPLEJO

 

Complejo: z = a+bi (forma binómica)

Afijo de z: P(a,b)

Vector OP: representación gráfica del complejo z

Módulo de z:

Argumento ""del complejo z: Es el ángulo que forma el semieje positivo OX con el vector OP.

Para determinar "" tenemos en cuenta que tg()=b/a; como existen infinitos ángulos con la misma tangente, el argumento de z dependerá de los signos de a y b, es decir, del cuadrante en que esté situado el afijo de z.

Forma polar o módulo-argumental del complejo z:

Forma trigonométrica del complejo z: m(cos + i sen )

Para determinar la forma binómica del complejo a partir de la forma polar, tenemos en cuenta las definiciones de seno y coseno de un ángulo, entonces:

a = m cos ; b = m sen

Sustituyendo estas igualdades en la forma binómica a + bi:

a+bi = (m cos )+ (m sen ) i = m(cos + i sen ) que es la forma trigonométrica

 

 

 

 

9.- Pasa a forma polar los complejos: 4+4i, -3+2i, -5-2i, 4-i. Utiliza el cuaderno y después comprueba los resultados.

 

 

10.- Observa que al cambiar el argumento de un complejo "arg" por (arg+k·360º), (siendo k un entero cualquiera), el vector que lo representa no varía.

Dos complejos en forma polar son iguales, si tienen el mismo módulo y sus argumentos se diferencian en un número entero de vueltas.

11.- Pasa a forma binómica los complejos: a) de módulo 3 y argumento 30º, b) de módulo 5 y argumento 210º, c) de módulo 2 y argumento 335º y d) de módulo 4 y argumento140º. Utiliza el cuaderno y después comprueba los resultados.

 

 

PRODUCTO Y COCIENTE DE COMPLEJOS EN FORMA POLAR

 

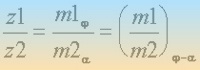
El producto de dos complejos en forma polar es otro complejo en forma polar que tiene por módulo el producto de los módulos y por argumento la suma de los argumentos.

 

Observa que:

como IzI=Iz1I·Iz2I se cumple Iz I / Iz1I=Iz2I /1, entonces los triángulos señalados en la escena tienen dos lados proporcionales y además los ángulos que determinan esos lados son iguales. Por tanto los dos triángulos son semejantes.

 

 

El cociente de dos complejos en forma polar es otro complejo en forma polar que tiene por módulo el producto de los módulos y por argumento la diferencia de los argumentos.

 

Observa que:

como Iz1I / Iz2I=IzI /1, los triángulos señalados en la escena tienen dos lados proporcionales y además los ángulos que determinan esos lados son iguales. Por tanto los dos triángulos son semejantes.

 

12.- Sean: z1=-2+2i, z2=-3i. Pasa z1 y z2 a forma polar y después efectúa en tu cuaderno el producto z1·z2 y el cociente z1 / z2. Comprueba los resultados en las escenas anteriores.

13.- Teniendo en cuenta la semejanza de los triángulos señalados, explica cómo puedes representar el producto z1·z2 y el cociente z1/z2 a partir de la representación de z1 y z2.

14.- Teniendo en cuenta el producto de complejos en forma polar, ¿cuál es el efecto geométrico resultante de multiplicar un complejo cualquiera por el complejo de módulo 1 y argumento ?.

15.- Sobre el punto P(2, -3) se aplica primero un giro con centro O y amplitud 45º, y luego una simetría respecto del eje OX. Halla las coordenadas del punto P' transformado de P.

 

POTENCIA DE UN COMPLEJO EN FORMA POLAR

 

Teniendo en cuenta el producto de complejos, podemos ver que la potencia de exponente n natural de un complejo en forma polar es otro complejo que tiene por módulo el resultado de elevar a n el módulo y por argumento el resultado de multiplicar por n el argumento.

 

 

16.- Calcula las sucesivas potencias (de exponentes: 0, 1, 2, 3, ...) del complejo de módulo 1.2 y argumento 45º. Observa en la escena anterior los afijos de las sucesivas potencias del complejo. ¿Qué figura describen?.

¿Qué ocurre cuando hallamos las sucesivas potencias de un complejo de módulo 1?

¿Qué ocurre con los afijos de las potencias cuando variamos solamente el argumento del complejo?

¿Qué ocurre con los afijos de las potencias cuando variamos solamente el módulo del complejo?

 

 

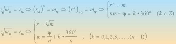
RAIZ DE ÍNDICE "n" DE UN COMPLEJO EN FORMA POLAR

 

La raiz enésima de un complejo es otro complejo tal que al elevarlo al índice de la raíz nos da el radicando.

Hay n raíces enésimas distintas, observa que si seguimos dando a k los valores n, n+1, n+2, ..... los números complejos que determinan esos argumentos coinciden con los de las primeras raíces ya obtenidas.

 

Observa que todas las raíces enésimas de un complejo tienen el mismo módulo "r" (su afijo está sobre una circunferencia de radio r) y, la diferencia entre dos argumentos consecutivos Ai y A(i+1), es siempre la misma.

 

17.- ¿Qué figura geométrica se obtiene al unir los "n" afijos de las "n" raíces enésimas de un complejo?

18.- Calcula las siguientes raíces . Observa que previamente tienes que pasar a forma polar los complejos que están escritos en forma binómica. Comprueba los resultados en la escena.

19.- Los afijos de las raíces enésimas de un complejo z son los vértices de un pentágono regular inscrito en una circunferencia de radio 2 y centro en el origen de coordenadas. Sabiendo que el argumento de una de dichas raíces es 100º, calcúlese z y las demás raíces.

20.- Si w es una raíz quinta de la unidad distinta de 1, razonar que las demás raíces quintas son 1, y .

 

 

 

 

 

 

 

Ir a forma binómica

 

 

 

Autor: Mª Ángeles Alonso González 

 
© Ministerio de Educación, Cultura y Deporte. Año 2001